岩石力学、渗透率、电阻率、超声波波速等参数是表征岩石物理力学性质的关键指标,也是岩石工程设计、施工、运行等环节的重要依据。面向深地科技战略,岩石工程向深部进军,但深部处于超高温高应力极端环境,如我国塔科1井深度超过万米,温度达230℃、应力达200MPa。超高温高应力极端环境给深部岩石工程带来严峻挑战,面临着能不能干成、能不能干好的难题。主要原因在于,传统实验装置难以模拟超高温高应力环境并在此环境下开展力-渗-电-声多参数测试,导致难以准确认知超高温高压环境下岩石变形破裂和传质机理,进而造成深部岩石工程设计、施工、运行缺乏理论依据。
针对以上问题,武汉岩土所岩体工程多场耦合效应研究团队与中国石油测井有限公司联合研发了超高温高应力岩石力-渗-电-声多参数测试系统(图1),该系统集成了力学、渗透率、电阻率、超声波等多种测试模块,支持超高温高应力(230℃、200MPa)的单/三轴压缩试验、有效应力系数(孔隙压力140MPa)试验、渗透率试验,试验过程可实时监测岩石应变、超声波、电阻率、稳态/瞬态法渗透率。超高温高应力实验舱是测试系统的核心单元(图2),专为模拟深部超高温高应力环境而设计,采用高强度合金材料制造,底座集成变形、电阻、超声波、温度、孔隙压力等多功能接口,内置专门研发的高性能超声波激发探头和绝缘接头,确保在230℃高温、200MPa高应力及140MPa高孔隙压力状态下,实现对岩心力-渗-电-声多参数的精准测量与分析。
目前,该设备已经通过验收,各项技术参数达到预定要求,获得了一些典型试验结果,主要包括以下内容:
1、岩石力学测试:对砂岩开展了系统的三轴压缩试验,研究了不同围压和孔隙压力条件下的岩石力学行为,试验结果如图3所示,为准确认知深部岩石变形破裂和传质机理提供了依据,特别揭示了高围压和高孔隙压力对深部岩石破坏模式的协同控制机制。
2、岩石三轴循环加卸载过程中应变与电阻测试:对盐水饱和后的砂岩开展了三轴循环加卸载过程的应变与电阻联测试验,试验结果如图4所示,为准确认知深部岩石破坏模式与电阻、应变之间的对应关系提供了依据。
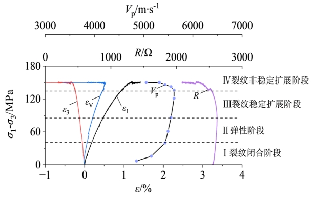
3、岩石三轴压缩过程中力-电-声联合测试:对盐水饱和后的砂岩开展了三轴压缩过程中应变、电阻、超声波联测试验,试验结果如图5所示,为建立岩石变形、电阻、超声波之间的定量对应关系提供了依据。
该超高温高应力岩石力-渗-电-声多参数测试系统已在各大深层/超深层油气田中成功应用,准确、高效地提供了相关参数,有力支撑了工程的设计、施工、运行。相关成果已申请发明专利4项,相关研究得到了地球深部探测与矿产资源勘查国家科技重大专项(No. 2024ZD1003600)资助。
已申请的发明专利:
(1)一种超高温高压的三轴试验装置,ZL202311070939.0
(2)一种高温三轴的快速加热装置及其使用方法,ZL202510435287.9
(3)一种高温高压电-渗-力联合测量试验装置及其使用方法,ZL202510435286.4
(4)一种高温高压声-电联合测量试验装置及其使用方法,ZL202510435285.X

图1 超高温高应力岩石力-渗-电-声多参数测试系统

图2 超高温高应力实验舱:(a)联合加热示意图(b)实验舱实物图

图3 偏应力-应变曲线:(a)不同围压条件下偏应力-应变曲线(b)不同孔压条件下偏应力-应变曲线(σ3=160MPa)(c)相同围压-孔压差值条件下偏应力-应变曲线(σ3-p=60MPa)

图4 偏应力/电阻/体积应变-时间曲线:
(a)σ3=80MPa,p=20MPa ;b)σ3=160MPa,p=20MPa;(c)σ3=160MPa,p=140MPa

图5 T=175℃,σ3=160MPa,p=140MPa条件下声波/电阻/偏应力-应变曲线
附件下载: